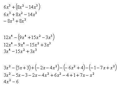
Brackets Examples

part of the official Doug Simms Online site

hockey puck nhl hall of fame don cherry face-off penalty box ice rink blue line icing

Send me email at:dougsimmsonline@gmail.com

HOME

Back to Brackets


hockey puck nhl hall of fame don cherry face-off penalty box ice rink blue line icing