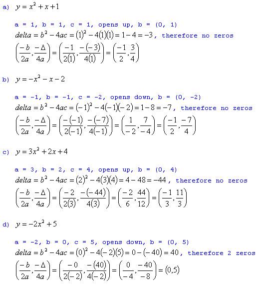
Finding the Vertex

Answers

part of the official Doug Simms Online site

circus animal zoo monkey elephant zebra trapeze ring ringmaster clown

Send me email at:dougsimmsonline@gmail.com

HOME

Back to Finding the Vertex


circus animal zoo monkey elephant zebra trapeze ring ringmaster clown