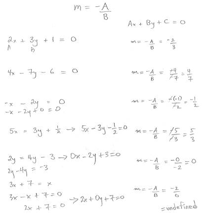
Find Slope with ABC Equals Zero
Examples
part of the official Doug Simms Online site
Send me email at:dougsimmsonline@gmail.com
HOME
Back to Find Slope with ABC Equals Zero