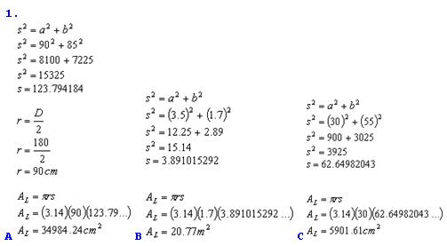
Lateral Area of a Cone

Answers

part of the official Doug Simms Online site

soccer ball penalty kick throw-in goalkeeper goalie striker corner midfielder

Send me email at:dougsimmsonline@gmail.com

HOME

Back to Lateral Area of a Cone


soccer ball penalty kick throw-in goalkeeper goalie striker corner midfielder