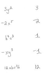
Numerical Coefficient

Example

part of the official Doug Simms Online site

smart board white

Send me email at:dougsimmsonline@gmail.com

HOME

Back to Numerical Coefficient


smart board white