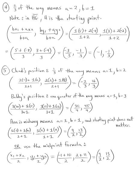
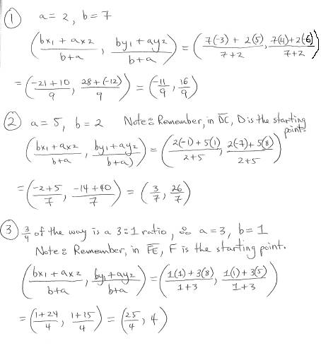
Ratio Formula Answer Sheet

part of the official Doug Simms Online site

 

smart board white

Send me email at:dougsimmsonline@gmail.com

HOME

 

Back to Ratio Formula


smart board white