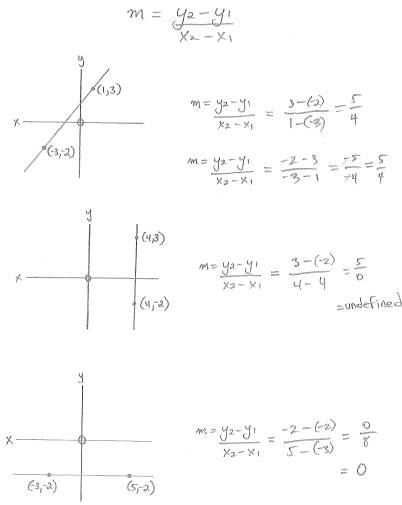
Slope Formula Example

part of the official Doug Simms Online site

smart board white

Send me email at:dougsimmsonline@gmail.com

HOME

Back to Slope Formula


smart board white