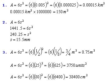
Total Area of a Cube

Answers

part of the official Doug Simms Online site

smart board white

Send me email at:dougsimmsonline@gmail.com

HOME

 

Back to Total Area of a Cube


smart board white