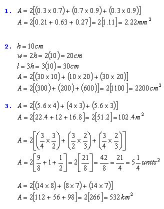
Total Area of a Rectangular Prism

Answers

part of the official Doug Simms Online site

smart board white

Send me email at:dougsimmsonline@gmail.com

HOME

Back to Total Area of a Rectangular Prism


smart board white