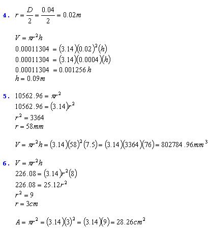
Volume of a Cylinder

Answers

part of the official Doug Simms Online site

smart board white

Send me email at:dougsimmsonline@gmail.com

HOME

Back to Volume of a Cylinder


smart board white